Time and Work is an important chapter from banking examinations point of view. Today I am going to share simple tricks to solve questions from this chapter. I have already shared efficiency shortcut with video to solve questions from this chapter here.
Step 2. Add or Subtract According to a particular question
Step 3. The LCM from Step 1. will be the total work . Divide the total work with the outcome of Step 2.
Step 1. Take the LCM of 4 and 12 which is 12.Twelve is the total work
Step 2. Divide 12 by (each number)4 and 12 ,you will get 3 and 1 respectively.
Now you get A and B's work in one day is 3 or 1/3 . A's one day work = 12 or 1/12 and so on.
Step 3. Now Subtract their work (3-1) you will get 2.
Step 4. A and B done the work in 4 days .Now by placing the value of A . you will get the B's work which is 2 days.
Step 5. Divide Total work by B's one day work. like here 12/2 = 6
Step 2. Divide 30 by (each number)10 and 15 ,you will get 3 and 2 respectively.
Now you get A's work in one day work is 3 or 1/3 . B's one day work = 2 or 1/2 .
Step 3. Now add Each Men's 1 day work (3+2) which 5. Now here 5 is A and B together's 1 day work.
Step 4. Now Divide 1 day's work with Total work ( 30/5) , you will get Total time taken by them to do the same work together which is in this case is 6 days.
Steps to Solve Time and Work with Trick
Step 1. Take the LCM of a given NumberStep 2. Add or Subtract According to a particular question
Step 3. The LCM from Step 1. will be the total work . Divide the total work with the outcome of Step 2.
Problems
#1
Ram , Shyam and Mohan can do a piece of work in 12,15 and 20 days respectively, how long will they take to finish it together .
(LIC, ' 91)
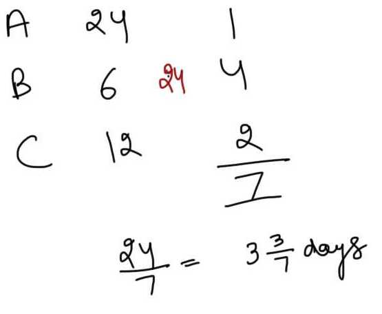
Step 1. Take the LCM of 12,15 and 20 which is 60.60 is the total work
Step 2. Divide 60 by (each number)12,15 and 20 ,you will get 5,4 and 3 respectively.
Now you get Ram's work in one day is 5 or 1/5 .Shyam's one day work = 4 or 1/4 and so on.
Step 3. Now add Each Men's 1 day work (5+4+3) which 12. Now here 12 is Ram , Shyam and Mohan together's 1 day work.
Step 4. Now Divide 1 day's work with Total work ( 60/12) , you will get Total time taken by them to do the same work which is in this case is 5 days.
Step 2. Divide 60 by (each number)12,15 and 20 ,you will get 5,4 and 3 respectively.
Now you get Ram's work in one day is 5 or 1/5 .Shyam's one day work = 4 or 1/4 and so on.
Step 3. Now add Each Men's 1 day work (5+4+3) which 12. Now here 12 is Ram , Shyam and Mohan together's 1 day work.
Step 4. Now Divide 1 day's work with Total work ( 60/12) , you will get Total time taken by them to do the same work which is in this case is 5 days.
#2
A and B together can complete a piece of work in 4 days. If A alone can complete the same work in 12 days, in how many days can B alone complete that work ?
(Bank P.O. 2008)
Step 2. Divide 12 by (each number)4 and 12 ,you will get 3 and 1 respectively.
Now you get A and B's work in one day is 3 or 1/3 . A's one day work = 12 or 1/12 and so on.
Step 3. Now Subtract their work (3-1) you will get 2.
Step 4. A and B done the work in 4 days .Now by placing the value of A . you will get the B's work which is 2 days.
Step 5. Divide Total work by B's one day work. like here 12/2 = 6
#3
A does a work in 10 days and B does the same work in 15 days. In how many days they together will do the same work ?
(R.R.B. 2003)
Step 1. Take the LCM of 10 and 15 which is 30. Thirty is the total workStep 2. Divide 30 by (each number)10 and 15 ,you will get 3 and 2 respectively.
Now you get A's work in one day work is 3 or 1/3 . B's one day work = 2 or 1/2 .
Step 3. Now add Each Men's 1 day work (3+2) which 5. Now here 5 is A and B together's 1 day work.
Step 4. Now Divide 1 day's work with Total work ( 30/5) , you will get Total time taken by them to do the same work together which is in this case is 6 days.



